Revista Brasileira de Enfermagem. 2024;77(5):e20230293
DOI: 10.1590/0034-7167-2023-0293pt
Publication date: 26/08/2024

verificar a influência do momento da leucorredução (pré ou pós-armazenamento) de hemocomponentes na evolução clínica de pacientes transfundidos na emergência.
coorte retrospectiva de pacientes com idade igual ou maior de 18 anos que receberam, no departamento de emergência, concentrado de hemácias ou plaquetas leucorreduzidas pré ou pós-armazenamento. Modelo de efeitos mistos generalizado foi aplicado nas análises.
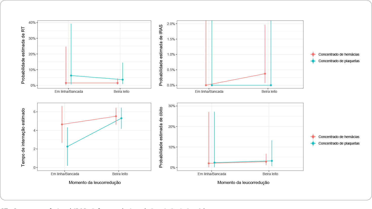
na amostra de 373 pacientes (63,27% homens, idade média 54,83) e 643 transfusões (69,98% concentrado de hemácias) foi identificado que o momento da leucorredução influenciou o tempo de internação hospitalar dos pacientes (p<0,009), porém não foi dependente do hemocomponente transfundido (p=0,124). O momento da leucorredução não teve efeito (p>0,050) nas variáveis reação transfusional, infecção relacionada à assistência à saúde e óbito.
pacientes que receberam na emergência hemocomponente leucorreduzido pré-armazenamento apresentaram menor tempo de internação hospitalar.
Busca
Pesquisar em:
